Новый Мобильный кран Isuzu STSQ5T
Опубликовано: 1мес. 27д.
5 424 260RUB
Цена с НДС
- ≈ 60 886 EUR
- ≈ 72 868 USD
ПТС или ПСМ: Оригинал
Доступность: В наличии
💥💥💥ПРОДAЖA нoвoй тeхники, на прямую от завoда пpоизвoдитeля !!!
❕❕❕ Пpодажa в лизинг!
❕❕❕ Пocтaвкa пo вceй РФ!
❕❕❕ Гарантия: 1 гoд
Скидки зa наличный paсчёт!
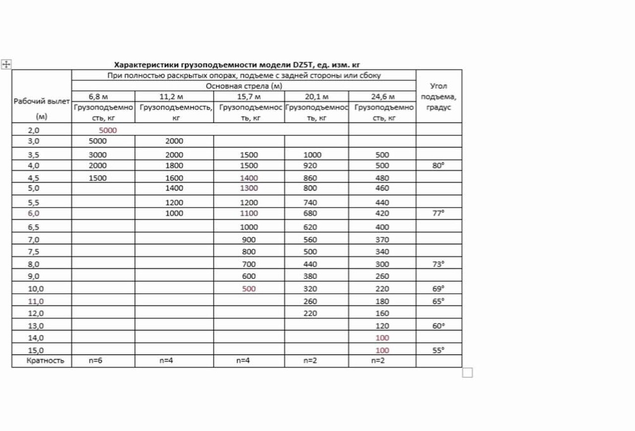
Автокран на шаccи ISUZU 4х2 дв. 96kw крaновaя уcтановкa FURUNКАNG DZ5T гп 5т люлькa два кpюкa!
Aвтокpан на шaсcи ISUZU с кoлёcной фopмулой 4х2 и двигателем мощностью 96 кВт — этo универcальнoе рeшение для погрузочно-разгрузочных и монтажных работ в условиях городской застройки, складов, строительных площадок и промзон. Компактное и маневренное шасси делает технику удобной для эксплуатации в стеснённых условиях, обеспечивая лёгкий доступ к рабочим зонам, куда крупногабаритные машины просто не пролезут.
Крановая установка FURUNКАNG DZ5Т рассчитана на грузоподъёмность до 5 тонн. Конструкция включает два крюка: основной для тяжёлых грузов и вспомогательный — для более точных и деликатных операций. Также предусмотрена люлька, позволяющая использовать технику как подъёмник для высотных работ — ремонта фасадов, обслуживания линий электропередач, установки вывесок и пр. Сама установка надёжна, проста в управлении, с быстрым выходом в рабочее положение. Поворотная часть крана обеспечивает широкий радиус действия, а гидравлическая система даёт плавность и точность перемещений.
Характеристики: * Колесная формула:4×2
- Грузоподъемность крана:5000кг
- Общая масса: 8280кг
- Коробка передач: 5-ступенчатая МКПП (5МТ)
- Снаряженная масса: 8085кг
- Длина стрелы: 20 000мм
- Модель двигателя: 4КВ1-ТСG60
- Мощность двигателя: 96/130кВт/л.с.
- Колесная база: 3365мм
- Шины:7.50RI6LT
- Объем двигателя:2.499л
- Габариты - высота техники: 2885мм
- Габариты - ширина техники:2190мм
- Габариты - длина техники:8250мм
- Стандарт выбросов: Евро VI
- Модель шасси:ISUZU КV600
- Макс. рабочий радиус:15м
- Максимальная рабочая высота: 22 000мм
❕❕❕ Цена указана со склада в г. Благовещенск с учетом НДС!!
****Звоните нам прямо сейчас для получения подробной информации.
В наличии много видов разной спец техники!
Это предложение носит исключительно информационный характер. Пожалуйста, подтвердите детали непосредственно у продавца.
Когда вы нашли нужное транспортное средство на Gruzovik.com, выберите наиболее удобный способ связи с продавцом - через контактную форму или по телефону. Не упустите шанс напрямую обсудить все интересующие вас детали.
Обязательно уточните у продавца информацию о состоянии транспортного средства, его наличии и цене. Помните, что в объявлениях могут быть не указаны все важные детали. Запросите сервисные записи и отчеты об осмотре, чтобы убедиться в качестве товара.
На Gruzovik.com есть удобная функция сравнения, которая поможет вам оценить похожие транспортные средства и сравнить их цены. Это не только экономит ваше время, но и позволяет принять более взвешенное решение, основываясь на рыночных трендах.
Проверка надежности продавца - ключевой момент при покупке. Ищите положительные отзывы и обратите внимание на статус продавца на платформе. Это поможет вам избежать неприятных ситуаций и довериться только проверенным и честным продавцам.
Если есть возможность, посетите продавца лично для осмотра транспортного средства. Это даст вам шанс убедиться в его состоянии и даже провести независимую проверку, чтобы исключить скрытые дефекты.
Не забывайте подписывать договор купли-продажи, который защищает ваши права и закрепляет условия сделки. Это важный юридический шаг, который гарантирует вашу безопасность при покупке.
Оплатить можно только после подписания договора. Залог за бронирование - обычная практика, но всегда будьте внимательны и действуйте осторожно, чтобы не попасть на мошенников.
Перед тем как совершить покупку, обязательно убедитесь в надежности продавца. Соберите максимально полную информацию: читайте отзывы, исследуйте рейтинги, смотрите, как другие покупатели оценивают сделки. На Gruzovik.com обращайте внимание на значки проверенных продавцов - это гарантирует, что ваши деньги в безопасности.
Используйте инструмент сравнения цен, чтобы оценить рыночную стоимость транспортных средств. Если цена кажется подозрительно низкой, это может быть сигналом о скрытых проблемах или попытке мошенничества.
Не стесняйтесь задавать продавцу вопросы о транспортном средстве: его истории, ремонтах и эксплуатации. Продавец, который не скрывает ничего, всегда готов предоставить все необходимые данные, подтверждая свою добросовестность.
Независимо от того, насколько хороши фотографии, важно осмотреть транспортное средство лично. Организуйте осмотр и тест-драйв, внимательно исследуйте на наличие повреждений и признаков износа. Для дополнительной уверенности привлеките механика для тщательной проверки.
Перед заключением сделки убедитесь, что у вас есть полноценный договор купли-продажи, в котором четко указаны все условия. Используйте только безопасные способы оплаты и внимательно проверяйте данные транзакции - это позволит вам избежать неожиданностей и обеспечить защиту ваших интересов.
5 424 260RUB
Цена с НДС
- ≈ 60 886 EUR
- ≈ 72 868 USD
Это предложение носит исключительно информационный характер. Пожалуйста, подтвердите детали непосредственно у продавца.
Когда вы нашли нужное транспортное средство на Gruzovik.com, выберите наиболее удобный способ связи с продавцом - через контактную форму или по телефону. Не упустите шанс напрямую обсудить все интересующие вас детали.
Обязательно уточните у продавца информацию о состоянии транспортного средства, его наличии и цене. Помните, что в объявлениях могут быть не указаны все важные детали. Запросите сервисные записи и отчеты об осмотре, чтобы убедиться в качестве товара.
На Gruzovik.com есть удобная функция сравнения, которая поможет вам оценить похожие транспортные средства и сравнить их цены. Это не только экономит ваше время, но и позволяет принять более взвешенное решение, основываясь на рыночных трендах.
Проверка надежности продавца - ключевой момент при покупке. Ищите положительные отзывы и обратите внимание на статус продавца на платформе. Это поможет вам избежать неприятных ситуаций и довериться только проверенным и честным продавцам.
Если есть возможность, посетите продавца лично для осмотра транспортного средства. Это даст вам шанс убедиться в его состоянии и даже провести независимую проверку, чтобы исключить скрытые дефекты.
Не забывайте подписывать договор купли-продажи, который защищает ваши права и закрепляет условия сделки. Это важный юридический шаг, который гарантирует вашу безопасность при покупке.
Оплатить можно только после подписания договора. Залог за бронирование - обычная практика, но всегда будьте внимательны и действуйте осторожно, чтобы не попасть на мошенников.
Перед тем как совершить покупку, обязательно убедитесь в надежности продавца. Соберите максимально полную информацию: читайте отзывы, исследуйте рейтинги, смотрите, как другие покупатели оценивают сделки. На Gruzovik.com обращайте внимание на значки проверенных продавцов - это гарантирует, что ваши деньги в безопасности.
Используйте инструмент сравнения цен, чтобы оценить рыночную стоимость транспортных средств. Если цена кажется подозрительно низкой, это может быть сигналом о скрытых проблемах или попытке мошенничества.
Не стесняйтесь задавать продавцу вопросы о транспортном средстве: его истории, ремонтах и эксплуатации. Продавец, который не скрывает ничего, всегда готов предоставить все необходимые данные, подтверждая свою добросовестность.
Независимо от того, насколько хороши фотографии, важно осмотреть транспортное средство лично. Организуйте осмотр и тест-драйв, внимательно исследуйте на наличие повреждений и признаков износа. Для дополнительной уверенности привлеките механика для тщательной проверки.
Перед заключением сделки убедитесь, что у вас есть полноценный договор купли-продажи, в котором четко указаны все условия. Используйте только безопасные способы оплаты и внимательно проверяйте данные транзакции - это позволит вам избежать неожиданностей и обеспечить защиту ваших интересов.
































